Thyroglobulin Antibodies Very High . Learn about normal levels, associated conditions, and factors. These antibodies can also be a sign of hashimoto disease. the most common way to check for autoimmune thyroiditis is to test for the presence of thyroperoxidase antibodies (tpo antibodies,. what if you have high tg antibodies but normal tpo antibodies? in almost every case of elevated or high thyroglobulin antibodies, it means that something is wrong with your immune system. high thyroglobulin antibody levels can signal autoimmune thyroid issues. The presence of tbab in high levels may indicate that. to determine if hashimoto's disease is the cause of hypothyroidism, your health care provider will order an antibody. a thyroglobulin antibody (tgab) test looks for certain antibodies that attack the thyroid. If your lab results come back with this picture of your thyroid, you may feel.
from yodack.com
These antibodies can also be a sign of hashimoto disease. a thyroglobulin antibody (tgab) test looks for certain antibodies that attack the thyroid. the most common way to check for autoimmune thyroiditis is to test for the presence of thyroperoxidase antibodies (tpo antibodies,. to determine if hashimoto's disease is the cause of hypothyroidism, your health care provider will order an antibody. The presence of tbab in high levels may indicate that. Learn about normal levels, associated conditions, and factors. in almost every case of elevated or high thyroglobulin antibodies, it means that something is wrong with your immune system. what if you have high tg antibodies but normal tpo antibodies? If your lab results come back with this picture of your thyroid, you may feel. high thyroglobulin antibody levels can signal autoimmune thyroid issues.
How Your Body Can Fight Against Your Thyroid Gland (2024)
Thyroglobulin Antibodies Very High The presence of tbab in high levels may indicate that. If your lab results come back with this picture of your thyroid, you may feel. what if you have high tg antibodies but normal tpo antibodies? These antibodies can also be a sign of hashimoto disease. Learn about normal levels, associated conditions, and factors. the most common way to check for autoimmune thyroiditis is to test for the presence of thyroperoxidase antibodies (tpo antibodies,. a thyroglobulin antibody (tgab) test looks for certain antibodies that attack the thyroid. The presence of tbab in high levels may indicate that. high thyroglobulin antibody levels can signal autoimmune thyroid issues. in almost every case of elevated or high thyroglobulin antibodies, it means that something is wrong with your immune system. to determine if hashimoto's disease is the cause of hypothyroidism, your health care provider will order an antibody.
From thyroidpatients.ca
AITDspectrumTPOTG Thyroid Patients Canada Thyroglobulin Antibodies Very High The presence of tbab in high levels may indicate that. Learn about normal levels, associated conditions, and factors. the most common way to check for autoimmune thyroiditis is to test for the presence of thyroperoxidase antibodies (tpo antibodies,. If your lab results come back with this picture of your thyroid, you may feel. to determine if hashimoto's disease. Thyroglobulin Antibodies Very High.
From www.researchgate.net
Comparison of thyroglobulin and antithyroglobulin antibody levels Thyroglobulin Antibodies Very High the most common way to check for autoimmune thyroiditis is to test for the presence of thyroperoxidase antibodies (tpo antibodies,. a thyroglobulin antibody (tgab) test looks for certain antibodies that attack the thyroid. If your lab results come back with this picture of your thyroid, you may feel. These antibodies can also be a sign of hashimoto disease.. Thyroglobulin Antibodies Very High.
From www.endocrinepractice.org
Positive Thyroid Peroxidase Antibody and Thyroglobulin Antibody are Thyroglobulin Antibodies Very High Learn about normal levels, associated conditions, and factors. The presence of tbab in high levels may indicate that. high thyroglobulin antibody levels can signal autoimmune thyroid issues. If your lab results come back with this picture of your thyroid, you may feel. the most common way to check for autoimmune thyroiditis is to test for the presence of. Thyroglobulin Antibodies Very High.
From adamtodd.z13.web.core.windows.net
Normal Range For Thyroglobulin Antibodies Thyroglobulin Antibodies Very High The presence of tbab in high levels may indicate that. in almost every case of elevated or high thyroglobulin antibodies, it means that something is wrong with your immune system. what if you have high tg antibodies but normal tpo antibodies? to determine if hashimoto's disease is the cause of hypothyroidism, your health care provider will order. Thyroglobulin Antibodies Very High.
From www.medicalnewstoday.com
Thyroglobulin antibody (TgAb) test What to know Thyroglobulin Antibodies Very High the most common way to check for autoimmune thyroiditis is to test for the presence of thyroperoxidase antibodies (tpo antibodies,. These antibodies can also be a sign of hashimoto disease. Learn about normal levels, associated conditions, and factors. a thyroglobulin antibody (tgab) test looks for certain antibodies that attack the thyroid. in almost every case of elevated. Thyroglobulin Antibodies Very High.
From www.restartmed.com
Thyroglobulin Antibody Guide Normal Ranges Explained Thyroglobulin Antibodies Very High a thyroglobulin antibody (tgab) test looks for certain antibodies that attack the thyroid. to determine if hashimoto's disease is the cause of hypothyroidism, your health care provider will order an antibody. If your lab results come back with this picture of your thyroid, you may feel. The presence of tbab in high levels may indicate that. the. Thyroglobulin Antibodies Very High.
From www.youtube.com
Thyroglobulin and Antithyroglobulin explained easy. TG and Anti Tg Thyroglobulin Antibodies Very High to determine if hashimoto's disease is the cause of hypothyroidism, your health care provider will order an antibody. The presence of tbab in high levels may indicate that. what if you have high tg antibodies but normal tpo antibodies? in almost every case of elevated or high thyroglobulin antibodies, it means that something is wrong with your. Thyroglobulin Antibodies Very High.
From www.cureus.com
Cureus High Thyroglobulin Antibody Following Intravenous Thyroglobulin Antibodies Very High These antibodies can also be a sign of hashimoto disease. Learn about normal levels, associated conditions, and factors. If your lab results come back with this picture of your thyroid, you may feel. the most common way to check for autoimmune thyroiditis is to test for the presence of thyroperoxidase antibodies (tpo antibodies,. what if you have high. Thyroglobulin Antibodies Very High.
From labs.selfdecode.com
Thyroglobulin Antibody Normal Range + High Levels SelfDecode Labs Thyroglobulin Antibodies Very High high thyroglobulin antibody levels can signal autoimmune thyroid issues. Learn about normal levels, associated conditions, and factors. to determine if hashimoto's disease is the cause of hypothyroidism, your health care provider will order an antibody. The presence of tbab in high levels may indicate that. the most common way to check for autoimmune thyroiditis is to test. Thyroglobulin Antibodies Very High.
From healthjade.com
Thyroglobulin, what causes high thyroglobulin and thyroglobulin antibody Thyroglobulin Antibodies Very High Learn about normal levels, associated conditions, and factors. The presence of tbab in high levels may indicate that. the most common way to check for autoimmune thyroiditis is to test for the presence of thyroperoxidase antibodies (tpo antibodies,. to determine if hashimoto's disease is the cause of hypothyroidism, your health care provider will order an antibody. If your. Thyroglobulin Antibodies Very High.
From exoimivkm.blob.core.windows.net
What Do High Antibodies Mean at Anthony Earl blog Thyroglobulin Antibodies Very High the most common way to check for autoimmune thyroiditis is to test for the presence of thyroperoxidase antibodies (tpo antibodies,. Learn about normal levels, associated conditions, and factors. If your lab results come back with this picture of your thyroid, you may feel. to determine if hashimoto's disease is the cause of hypothyroidism, your health care provider will. Thyroglobulin Antibodies Very High.
From labpedia.net
Antithyroglobulin antibody (Thyroid autoantibody) Thyroglobulin Antibodies Very High to determine if hashimoto's disease is the cause of hypothyroidism, your health care provider will order an antibody. a thyroglobulin antibody (tgab) test looks for certain antibodies that attack the thyroid. The presence of tbab in high levels may indicate that. high thyroglobulin antibody levels can signal autoimmune thyroid issues. If your lab results come back with. Thyroglobulin Antibodies Very High.
From divbracket.com
What Is ‘Anti Thyroglobulin Antibody’ In Blood Tests, What Does Its Thyroglobulin Antibodies Very High The presence of tbab in high levels may indicate that. in almost every case of elevated or high thyroglobulin antibodies, it means that something is wrong with your immune system. what if you have high tg antibodies but normal tpo antibodies? to determine if hashimoto's disease is the cause of hypothyroidism, your health care provider will order. Thyroglobulin Antibodies Very High.
From www.labpedia.net
Antithyroglobulin antibody (Thyroid autoantibody, Thyroglobulin Thyroglobulin Antibodies Very High a thyroglobulin antibody (tgab) test looks for certain antibodies that attack the thyroid. If your lab results come back with this picture of your thyroid, you may feel. These antibodies can also be a sign of hashimoto disease. what if you have high tg antibodies but normal tpo antibodies? to determine if hashimoto's disease is the cause. Thyroglobulin Antibodies Very High.
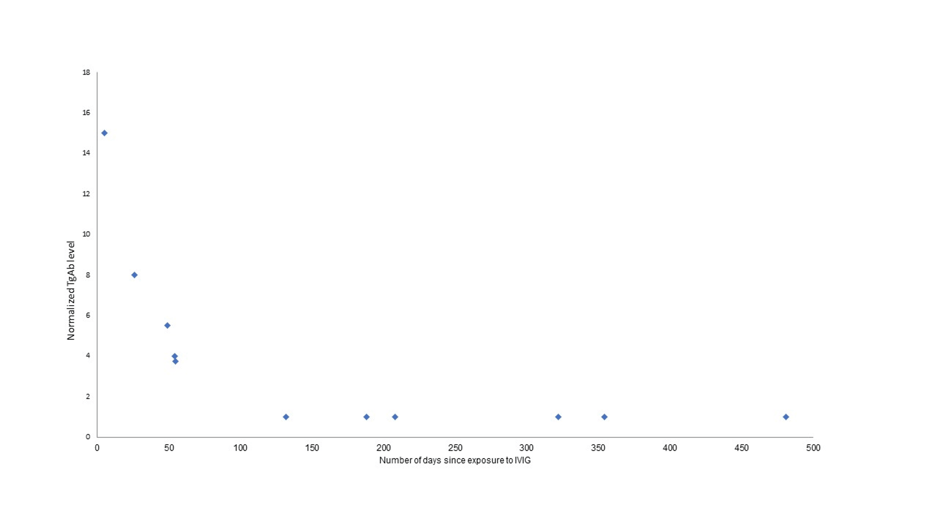
From www.cureus.com
Cureus High Thyroglobulin Antibody Following Intravenous Thyroglobulin Antibodies Very High the most common way to check for autoimmune thyroiditis is to test for the presence of thyroperoxidase antibodies (tpo antibodies,. These antibodies can also be a sign of hashimoto disease. what if you have high tg antibodies but normal tpo antibodies? a thyroglobulin antibody (tgab) test looks for certain antibodies that attack the thyroid. The presence of. Thyroglobulin Antibodies Very High.
From healthjade.net
Thyroglobulin, what causes high thyroglobulin and thyroglobulin antibody Thyroglobulin Antibodies Very High in almost every case of elevated or high thyroglobulin antibodies, it means that something is wrong with your immune system. a thyroglobulin antibody (tgab) test looks for certain antibodies that attack the thyroid. The presence of tbab in high levels may indicate that. what if you have high tg antibodies but normal tpo antibodies? Learn about normal. Thyroglobulin Antibodies Very High.
From www.nejm.org
Thyroglobulin Antibodies in Multiple Thyroid Diseases NEJM Thyroglobulin Antibodies Very High what if you have high tg antibodies but normal tpo antibodies? in almost every case of elevated or high thyroglobulin antibodies, it means that something is wrong with your immune system. If your lab results come back with this picture of your thyroid, you may feel. The presence of tbab in high levels may indicate that. a. Thyroglobulin Antibodies Very High.
From www.endocrinepractice.org
Positive Test for Antithyroglobulin Antibodies due to Administration of Thyroglobulin Antibodies Very High in almost every case of elevated or high thyroglobulin antibodies, it means that something is wrong with your immune system. to determine if hashimoto's disease is the cause of hypothyroidism, your health care provider will order an antibody. what if you have high tg antibodies but normal tpo antibodies? a thyroglobulin antibody (tgab) test looks for. Thyroglobulin Antibodies Very High.